Cand O Functie Admite Primitive





Teorie Exercitii Rezolvate Primitiva Unei Functii Integrala Nedefinita A Unei Functii Continue Tabel Integrale Pregatire Bac 2021 Matematica Jitaruionelblog Pregatire Bac Si Evaluarea Nationala 2021 La Matematica Si Alte Materii Materiale

Teorie Exercitii Rezolvate Primitiva Unei Functii Integrala Nedefinita A Unei Functii Continue Tabel Integrale Pregatire Bac 2021 Matematica Jitaruionelblog Pregatire Bac Si Evaluarea Nationala 2021 La Matematica Si Alte Materii Materiale

Primitiva Unei Functii Integrala Definita Youtube

Primitiva Unei Functii Integrala Definita Youtube

Teorie Exercitii Rezolvate Primitiva Unei Functii Integrala Nedefinita A Unei Functii Continue Tabel Integrale Pregatire Bac 2021 Matematica Jitaruionelblog Pregatire Bac Si Evaluarea Nationala 2021 La Matematica Si Alte Materii Materiale

Teorie Exercitii Rezolvate Primitiva Unei Functii Integrala Nedefinita A Unei Functii Continue Tabel Integrale Pregatire Bac 2021 Matematica Jitaruionelblog Pregatire Bac Si Evaluarea Nationala 2021 La Matematica Si Alte Materii Materiale

Primitiva Unei Functii Notiunea De Integrala Lic Primitive1 Youtube

Primitiva Unei Functii Notiunea De Integrala Lic Primitive1 Youtube

Teorie Exercitii Rezolvate Primitiva Unei Functii Integrala Nedefinita A Unei Functii Continue Tabel Integrale Pregatire Bac 2021 Matematica Jitaruionelblog Pregatire Bac Si Evaluarea Nationala 2021 La Matematica Si Alte Materii Materiale

Teorie Exercitii Rezolvate Primitiva Unei Functii Integrala Nedefinita A Unei Functii Continue Tabel Integrale Pregatire Bac 2021 Matematica Jitaruionelblog Pregatire Bac Si Evaluarea Nationala 2021 La Matematica Si Alte Materii Materiale

Primitive Anideșcoală Ro

Primitive Anideșcoală Ro

Primitive Anideșcoală Ro

Formula lui leibniz newton fie o functie integrabila primitivabila pe si f o primitiva a ei.

Cand o functie admite primitive. Să presupunem că funcțiile despre care vorbim sunt definite pe intervale deschise. Cand o functie admite primitive primitive si integrala nedefinita a unei functii dupa ce am invatat sa derivam dar si ce rol joaca derivata am trecut de clasa a xi a si a venit vremea sa stim sa gasim primitive dar si sa calculam integrala integralele nedefinita nedefinite a unei functii unor functii. însă im h 0 2 1 nu este interval deci h nu admite primitive. Presupunerea făcută este falsă.

Fie si daca f este integrabila pe si atunci f este integrabila pe si. Problema de mai sus furnizează un exemplu de funcţie cu p d. Problema 4 atunci diferenţa lor admite primitive deci funcţia h x f x g x 0 2 1 0 0 x x admite primitive. Orice funcție continuă admite primitive.

Intr un alt limbaj o functie este integrabila riemann daca sumele riemann asociate functiei converg spre o limita finita i atunci cand. și desigur avem și implicațiile inverse. Atunci pentru orice primitiva f a lui f are loc egalitatea. Dacă o funcție este continuă atunci ea admite primitive iar dacă admite primitive atunci ea are proprietatea lui darboux.

Daca f r este o functie continua atunci exista a. Există următoarea succesiune logică pe care e bine s o rețineți. Sunt doua primitive ale functie f atunci exista. Vasiliu mihai created date.

Daca o functie nu are proprietatea lui darboux atunci functia nu admite primitive. R r dată prin. O functie care admite primitive este derivata altei functii si este cunoscut faptul ca functiile derivate formeaza o clasa de functii cu proprietatea lui darboux. Dacă o funcție nu are proprietatea lui darboux pe un interval atunci acea funcție nu admite primitive pe acel interval.

Proprietatea lui darboux și primitive. Fie f r o functie integrabila care admite primitive pe. în unele cazuri primitivele unor astfel de funcții pot fi găsite prin integrare riemann pe când în alte cazuri astfel de funcții nu sunt integrabile riemann. Dacă o funcție nu are proprietatea lui darboux atunci ea nu admite.

Multimea tuturor primitivelor functiei f se noteaza si se citeste integrala nedefinita a functiei f. Fie i un interval si o functie care admite primitive. Unele funcții patologice cu mulțimi mari de discontinuități ar putea admite totuși primitive.

Teorie Exercitii Rezolvate Primitiva Unei Functii Integrala Nedefinita A Unei Functii Continue Tabel Integrale Pregatire Bac 2021 Matematica Jitaruionelblog Pregatire Bac Si Evaluarea Nationala 2021 La Matematica Si Alte Materii Materiale

Teorie Exercitii Rezolvate Primitiva Unei Functii Integrala Nedefinita A Unei Functii Continue Tabel Integrale Pregatire Bac 2021 Matematica Jitaruionelblog Pregatire Bac Si Evaluarea Nationala 2021 La Matematica Si Alte Materii Materiale

Primitive Ale Unei Functii Si Integrala Nedefinita

Primitive Ale Unei Functii Si Integrala Nedefinita

Http Manualul Info Th Elemente De Analiza Matematica Xii 1996 Pdf

Http Manualul Info Th Elemente De Analiza Matematica Xii 1996 Pdf

Sa Se Arate Ca F Admite Primitive Pe 0 Brainly Ro

Sa Se Arate Ca F Admite Primitive Pe 0 Brainly Ro

Cum Demonstrez Ca O Functie Admite Primitive Youtube

Cum Demonstrez Ca O Functie Admite Primitive Youtube

Primitive Ale Unei Functii Si Integrala Nedefinita

Primitive Ale Unei Functii Si Integrala Nedefinita

1 Primitive

1 Primitive

Primitive Ale Unei Functii Si Integrala Nedefinita

Primitive Ale Unei Functii Si Integrala Nedefinita

Cand Este O Functie Integrabila Si Cum Demonstrez Ca Este Integrabila De Ex F X 1 X Pt X Lt 1 Si Brainly Ro

Cand Este O Functie Integrabila Si Cum Demonstrez Ca Este Integrabila De Ex F X 1 X Pt X Lt 1 Si Brainly Ro

Http Manualul Info Th Elemente De Analiza Matematica Xii 1996 Pdf

Http Manualul Info Th Elemente De Analiza Matematica Xii 1996 Pdf

Primitive Ale Unei Functii Si Integrala Nedefinita

Primitive Ale Unei Functii Si Integrala Nedefinita

Integrarea Prin Parti Integrale Nedefinite Rezolvate 1 Jitaruionelblog Pregatire Bac Si Evaluarea Nationala 2021 La Matematica Si Alte Materii Materiale Lectii Formule Exercitii Rezolvate Matematica Gimnaziu Si Liceu Teste De Antrenament

Integrarea Prin Parti Integrale Nedefinite Rezolvate 1 Jitaruionelblog Pregatire Bac Si Evaluarea Nationala 2021 La Matematica Si Alte Materii Materiale Lectii Formule Exercitii Rezolvate Matematica Gimnaziu Si Liceu Teste De Antrenament

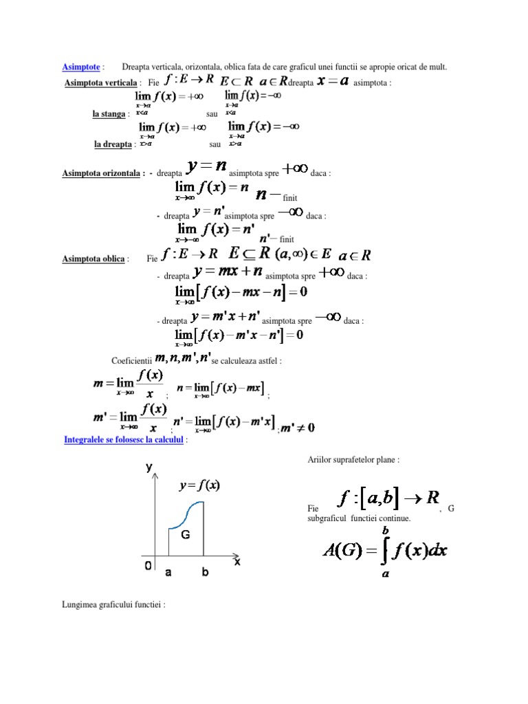
Asimptote

Asimptote

Teorie Exercitii Rezolvate Primitiva Unei Functii Integrala Nedefinita A Unei Functii Continue Tabel Integrale Pregatire Bac 2021 Matematica Jitaruionelblog Pregatire Bac Si Evaluarea Nationala 2021 La Matematica Si Alte Materii Materiale

Teorie Exercitii Rezolvate Primitiva Unei Functii Integrala Nedefinita A Unei Functii Continue Tabel Integrale Pregatire Bac 2021 Matematica Jitaruionelblog Pregatire Bac Si Evaluarea Nationala 2021 La Matematica Si Alte Materii Materiale

Source : pinterest.com